Free Access

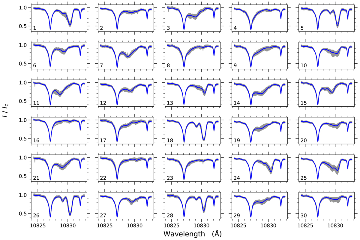
Fig. A.1.

image

Classification of the Stokes I profiles within map A using k-means. A total amount of 30 cluster represent well the variety of intensity profiles across the map. The blue profile is the average of all the individual profiles, which appear in gray color, within one cluster. Each cluster is identified by a number, which appears in the lower left corner of each panel.

Current usage metrics show cumulative count of Article Views (full-text article views including HTML views, PDF and ePub downloads, according to the available data) and Abstracts Views on Vision4Press platform.

Data correspond to usage on the plateform after 2015. The current usage metrics is available 48-96 hours after online publication and is updated daily on week days.

Initial download of the metrics may take a while.