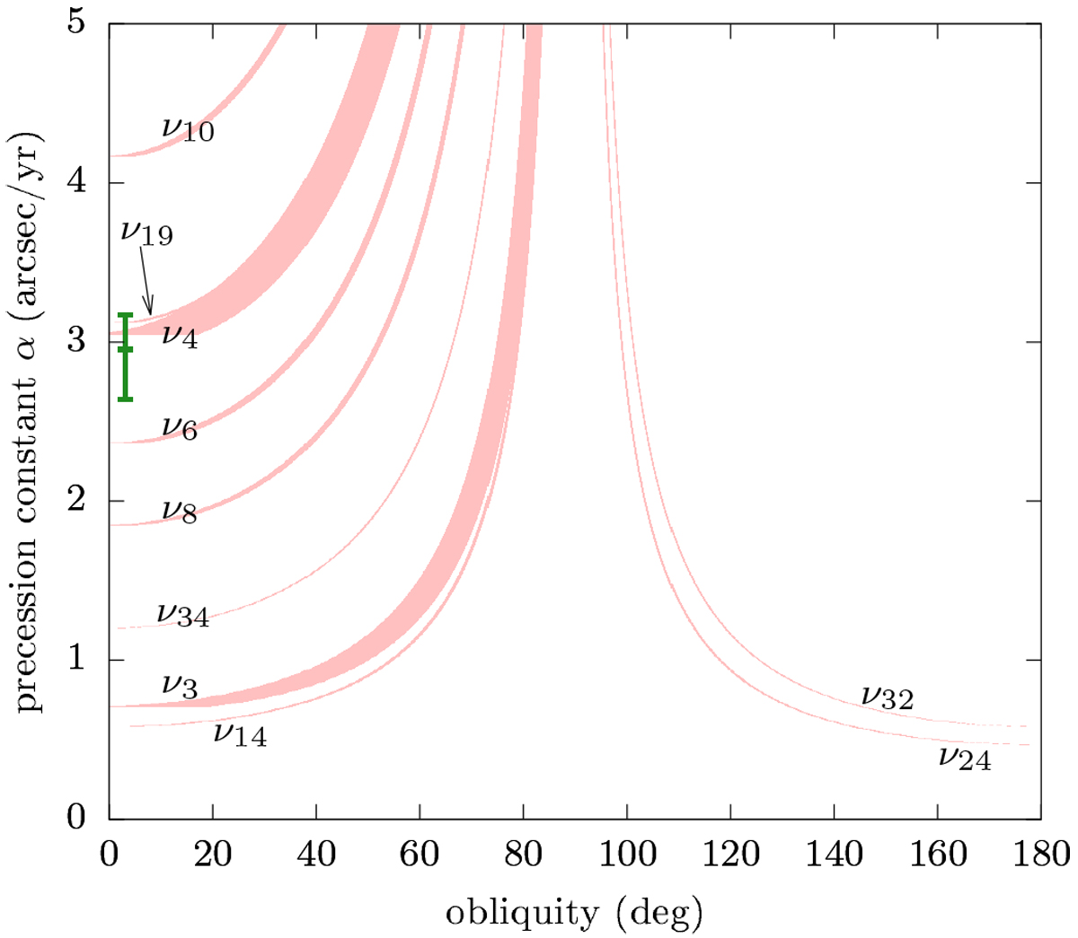
Fig. 1

Location and width of every first-order secular spin-orbit resonance for Jupiter. Each resonant angle is of the form σp = ψ + ϕp where ϕp has frequency νp labelled on the graph according to its index in the orbital series (see Table 2 and Appendix A). For a given value of the precession constant α, the interval of obliquity enclosed by the separatrix is shown in pink, as computed using the exact formulas given by Saillenfest et al. (2019). The green bar on the left shows Jupiter’s current obliquity and the range for its precession constant considered in this article, as detailed in Sects. 2.3 and 2.4.
Current usage metrics show cumulative count of Article Views (full-text article views including HTML views, PDF and ePub downloads, according to the available data) and Abstracts Views on Vision4Press platform.
Data correspond to usage on the plateform after 2015. The current usage metrics is available 48-96 hours after online publication and is updated daily on week days.
Initial download of the metrics may take a while.