Open Access

Fig. 4

image

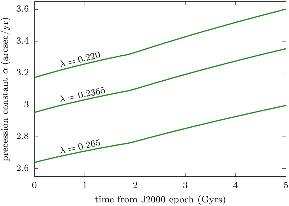
Evolution of the effective precession constant of Jupiter due to the migration of its satellites. The top and bottom curves correspond to the two extreme values of the normalised polar moment of inertia λ considered in this article. They appear into α through Eq. (3). The central curve corresponds to the value of λ that places Jupiter just near Cassini state 2 with the precession mode of Uranus (Ward & Canup 2006).

Current usage metrics show cumulative count of Article Views (full-text article views including HTML views, PDF and ePub downloads, according to the available data) and Abstracts Views on Vision4Press platform.

Data correspond to usage on the plateform after 2015. The current usage metrics is available 48-96 hours after online publication and is updated daily on week days.

Initial download of the metrics may take a while.