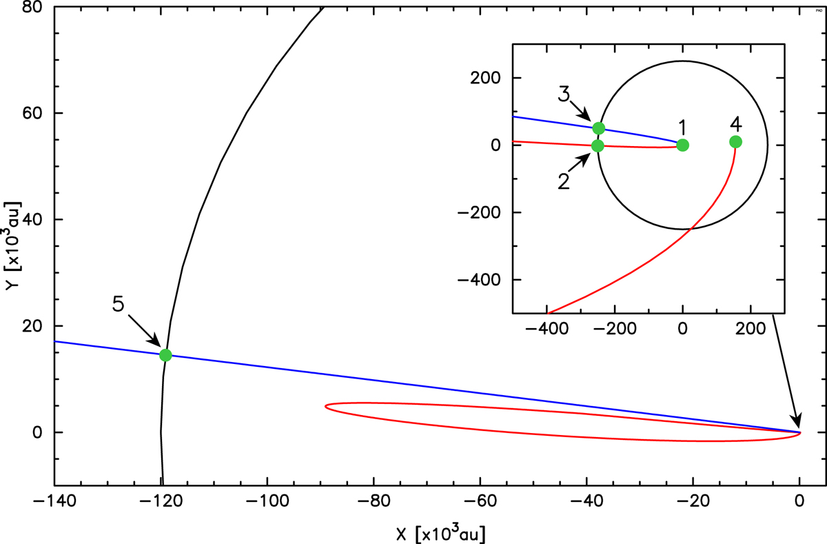
Fig. 1.

Orbital changes of C/2002 T7 projected on its original orbit plane that are described by five snapshots in CODE catalogue. Red line depicts the past motion of this comet while the blue line depicts its future evolution. Five epochs (snapshots) when orbital elements are recorded are marked: 1– osculating heliocentric orbit near the centre of the observational interval (typically near the perihelion); 2– original barycentric orbit recorded in past at 250 au from the Sun; 3– future barycentric orbit recorded in future at 250 au from the Sun; 4– previous orbit, recorded at the previous perihelion; 5– next orbit, in this case recorded at the escape border at 120 000 au from the Sun, but for many other comets recorded in the next perihelion.
Current usage metrics show cumulative count of Article Views (full-text article views including HTML views, PDF and ePub downloads, according to the available data) and Abstracts Views on Vision4Press platform.
Data correspond to usage on the plateform after 2015. The current usage metrics is available 48-96 hours after online publication and is updated daily on week days.
Initial download of the metrics may take a while.