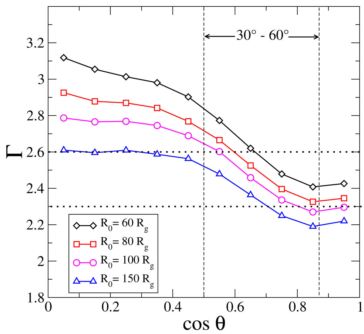
Fig. 2.

Model results for the relation between the photon index Γ and the observation angle θ for τ∥ = 2.5 and various values of R0. The two horizontal dotted lines place bounds on the range 2.3 < Γ < 2.6 and the two vertical dotted lines place bounds on the range 45 ± 15°. High-inclination systems are on the left and low-inclination ones are on the right.
Current usage metrics show cumulative count of Article Views (full-text article views including HTML views, PDF and ePub downloads, according to the available data) and Abstracts Views on Vision4Press platform.
Data correspond to usage on the plateform after 2015. The current usage metrics is available 48-96 hours after online publication and is updated daily on week days.
Initial download of the metrics may take a while.