Free Access
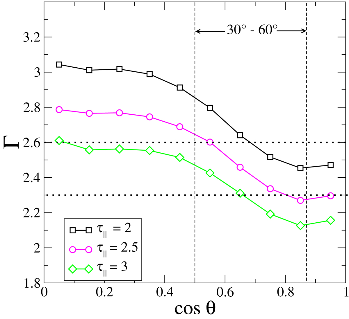
Fig. 3.

Model results for the relation between the photon index Γ and the observation angle θ for R0 = 100 Rg, and various values of τ∥. The horizontal and vertical dotted lines have the same significance as in Fig. 2.
Current usage metrics show cumulative count of Article Views (full-text article views including HTML views, PDF and ePub downloads, according to the available data) and Abstracts Views on Vision4Press platform.
Data correspond to usage on the plateform after 2015. The current usage metrics is available 48-96 hours after online publication and is updated daily on week days.
Initial download of the metrics may take a while.