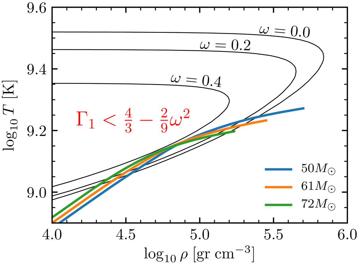
Fig. 1.

Instability region from pair-creation for different values of the ratio , computed for material composed of 90% oxygen and 10% carbon by mass. For reference, the profile of three nonrotating stripped star models at the onset of PPISNe or PISNe from Marchant et al. (2019) are included. The masses given correspond to the mass at the onset of instability.
Current usage metrics show cumulative count of Article Views (full-text article views including HTML views, PDF and ePub downloads, according to the available data) and Abstracts Views on Vision4Press platform.
Data correspond to usage on the plateform after 2015. The current usage metrics is available 48-96 hours after online publication and is updated daily on week days.
Initial download of the metrics may take a while.