Open Access
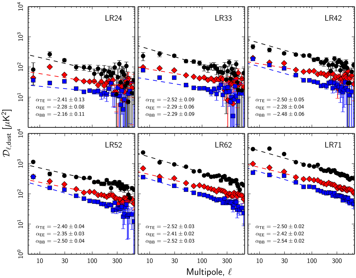
Fig. 2.

CMB-corrected EE (red diamonds), BB (blue squares), and TE (black circles) power spectra at 353 GHz, for each of the six sky regions that we analyse. The dashed lines represent power-law fits to the data points from ℓ = 40 to 600. The exponents of these fits, αTE, αEE, and αBB, appear on each panel.
Current usage metrics show cumulative count of Article Views (full-text article views including HTML views, PDF and ePub downloads, according to the available data) and Abstracts Views on Vision4Press platform.
Data correspond to usage on the plateform after 2015. The current usage metrics is available 48-96 hours after online publication and is updated daily on week days.
Initial download of the metrics may take a while.