Open Access
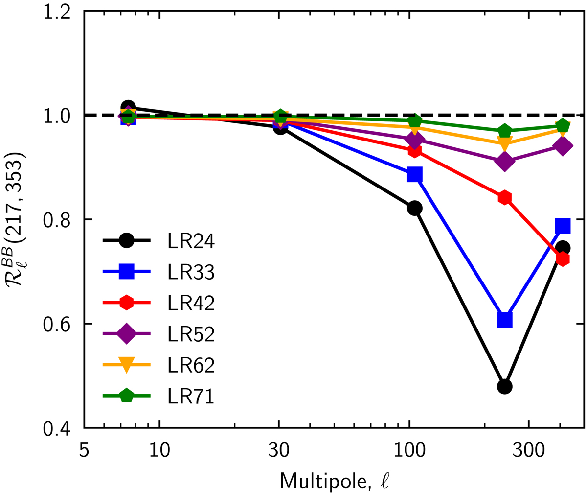
Fig. B.2.

Spectral correlation ratio versus multipole for the six sky regions. Like in PL, we find that the apparent decorrelation of the dust polarization measured by the difference
increases for decreasing
, that is towards low-brightness regions at high Galactic latitude.
Current usage metrics show cumulative count of Article Views (full-text article views including HTML views, PDF and ePub downloads, according to the available data) and Abstracts Views on Vision4Press platform.
Data correspond to usage on the plateform after 2015. The current usage metrics is available 48-96 hours after online publication and is updated daily on week days.
Initial download of the metrics may take a while.