Planck 2018 results
Open Access

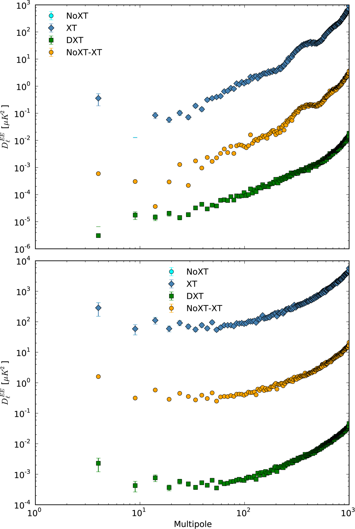
Fig. 33.

image

EE auto-spectra at 100 (top panel) and 353 GHz (bottom panel), computed on the simulated maps with (blue) and without cross-talk (light blue). The points are nearly superposed. In orange we plot the difference between auto-spectra obtained with and without cross-talk, while in green we plot the auto-spectra of the difference maps.

Current usage metrics show cumulative count of Article Views (full-text article views including HTML views, PDF and ePub downloads, according to the available data) and Abstracts Views on Vision4Press platform.

Data correspond to usage on the plateform after 2015. The current usage metrics is available 48-96 hours after online publication and is updated daily on week days.

Initial download of the metrics may take a while.