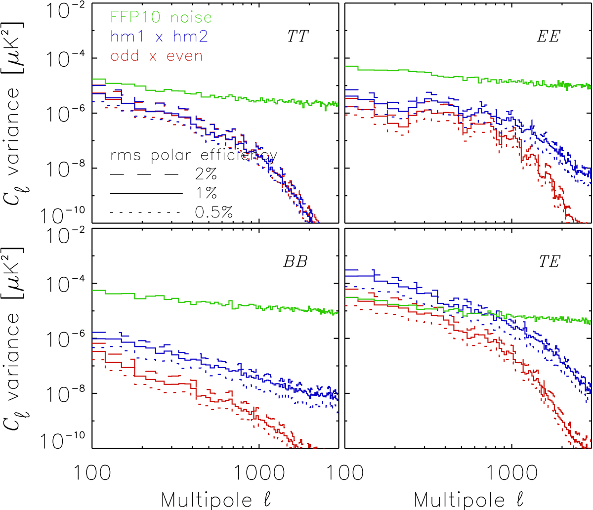
Fig. 36.

Simulation, at 143 GHz, of the polarization efficiency error propagated to power spectra. Specifically plotted is the relative variance within logarithmic bins in the cross-spectra half-mission 1 × half-mission 2 (blue curves) and odd × even rings (red curves) difference without and with polarization efficiency uncertainties (of 0.5, 1.0, and 2%). The green curves show the noise level from the half-mission null test.
Current usage metrics show cumulative count of Article Views (full-text article views including HTML views, PDF and ePub downloads, according to the available data) and Abstracts Views on Vision4Press platform.
Data correspond to usage on the plateform after 2015. The current usage metrics is available 48-96 hours after online publication and is updated daily on week days.
Initial download of the metrics may take a while.