Open Access
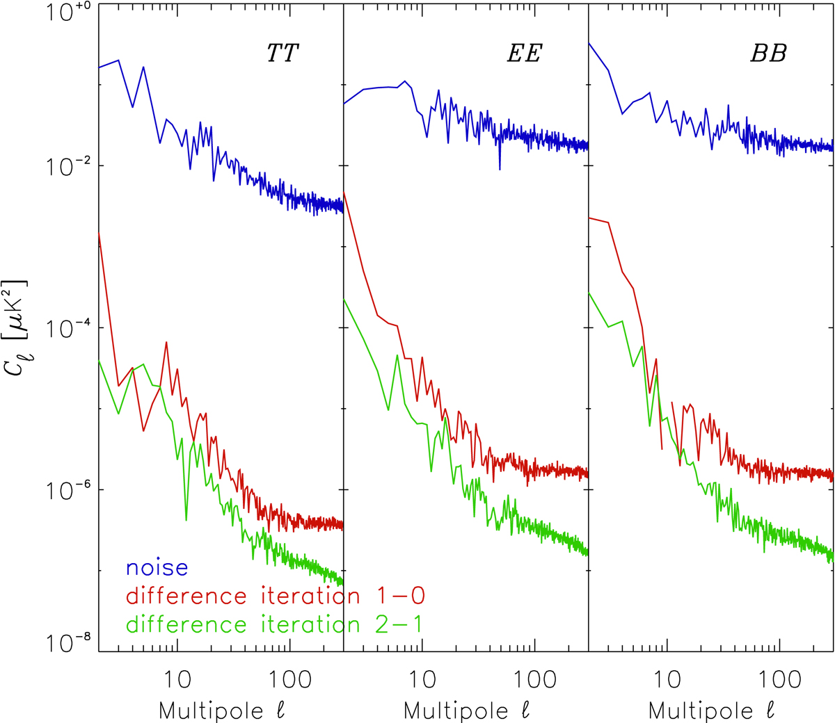
Fig. 46.

Convergence of iterations at 353 GHz on the dust template input. The residuals (input template minus output 353 GHz) are computed on power spectra TT, EE, and BB for a single iteration starting from the 2015 data (in red), and two iterations (in green). The blue curves give the noise from the half-mission differences.
Current usage metrics show cumulative count of Article Views (full-text article views including HTML views, PDF and ePub downloads, according to the available data) and Abstracts Views on Vision4Press platform.
Data correspond to usage on the plateform after 2015. The current usage metrics is available 48-96 hours after online publication and is updated daily on week days.
Initial download of the metrics may take a while.