Planck 2018 results
Free Access

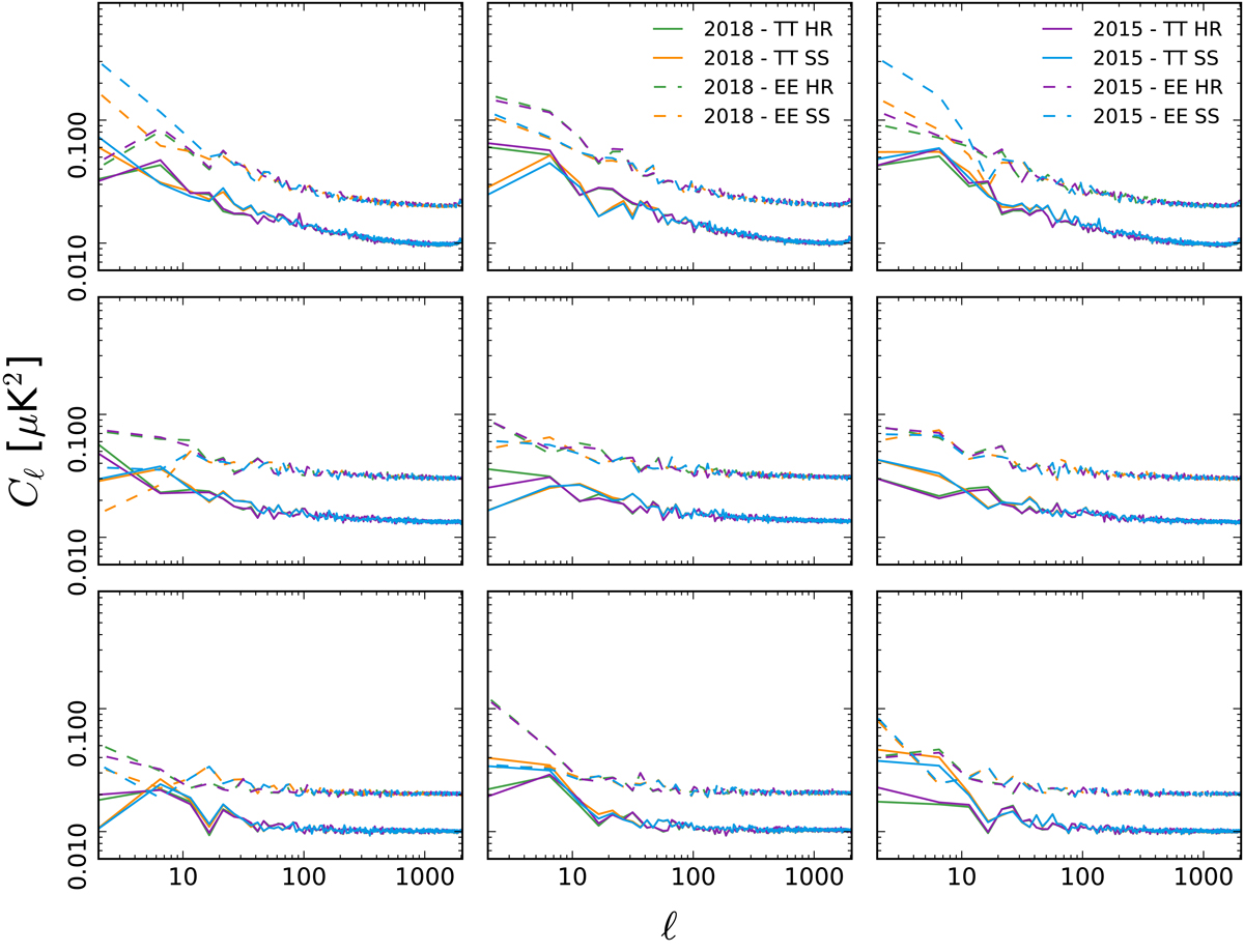
Fig. 17.

image

Null-test results comparing power spectra from survey differences to those from the half-ring maps. Differences are: left: Survey 1 − Survey 2; middle: Survey 1 − Survey 3; and right: Survey 1 − Survey 4. These are for 30 GHz (top), 44 GHz (middle), and 70 GHz (bottom), for both TT and EE power spectra. There is a significant improvement in Survey 1 − Survey 2 and Survey 1 − Survey 4 at 30 GHz, especially in EE.

Current usage metrics show cumulative count of Article Views (full-text article views including HTML views, PDF and ePub downloads, according to the available data) and Abstracts Views on Vision4Press platform.

Data correspond to usage on the plateform after 2015. The current usage metrics is available 48-96 hours after online publication and is updated daily on week days.

Initial download of the metrics may take a while.