Planck 2018 results
Free Access

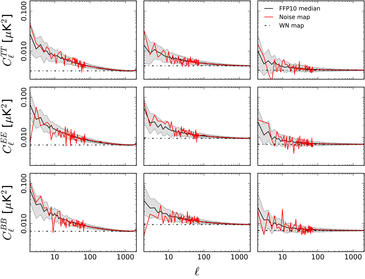
Fig. 18.

image

Consistency check at the power spectrum level between half-ring difference maps (red), white-noise covariance matrices (black dash-dotted lines), and 100 full-noise MC simulations (grey band showing range for 16% and 84% quantiles of noise simulations, and the black solid lines giving the median, i.e., 50% quantile, of the distributions). From top to bottom we show TT, EE, and BB power spectra for 30 GHz (left), 44 GHz (centre), and 70 GHz (right). Half-ring spectra are binned with Δ = 25 for  ≥ 75.

Current usage metrics show cumulative count of Article Views (full-text article views including HTML views, PDF and ePub downloads, according to the available data) and Abstracts Views on Vision4Press platform.

Data correspond to usage on the plateform after 2015. The current usage metrics is available 48-96 hours after online publication and is updated daily on week days.

Initial download of the metrics may take a while.