Planck 2018 results
Free Access

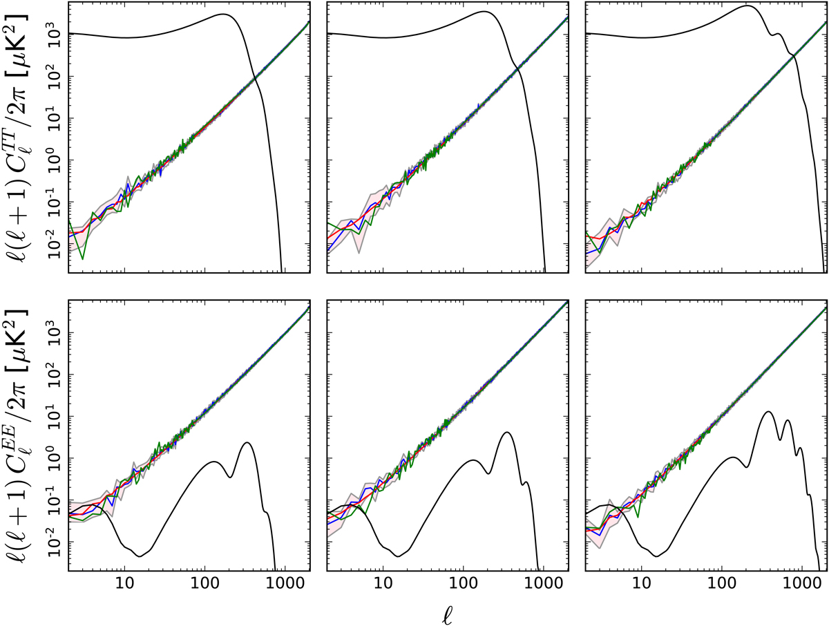
Fig. 25.

image

Angular TT (top) and EE (bottom) power spectra at 30 (left), 44 (middle), and 70 GHz (right) of a complete set of systematic effects for the 2015 data release (red) and the 2018 simulations (blue, 50% percentile plus 1σ band from simulations). This shows the good agreement between the two releases. In green we show the null spectra from odd-even year difference. The CMB angular power spectra (black lines) are convolved with the frequency dependent window functions.

Current usage metrics show cumulative count of Article Views (full-text article views including HTML views, PDF and ePub downloads, according to the available data) and Abstracts Views on Vision4Press platform.

Data correspond to usage on the plateform after 2015. The current usage metrics is available 48-96 hours after online publication and is updated daily on week days.

Initial download of the metrics may take a while.