Planck 2018 results
Free Access

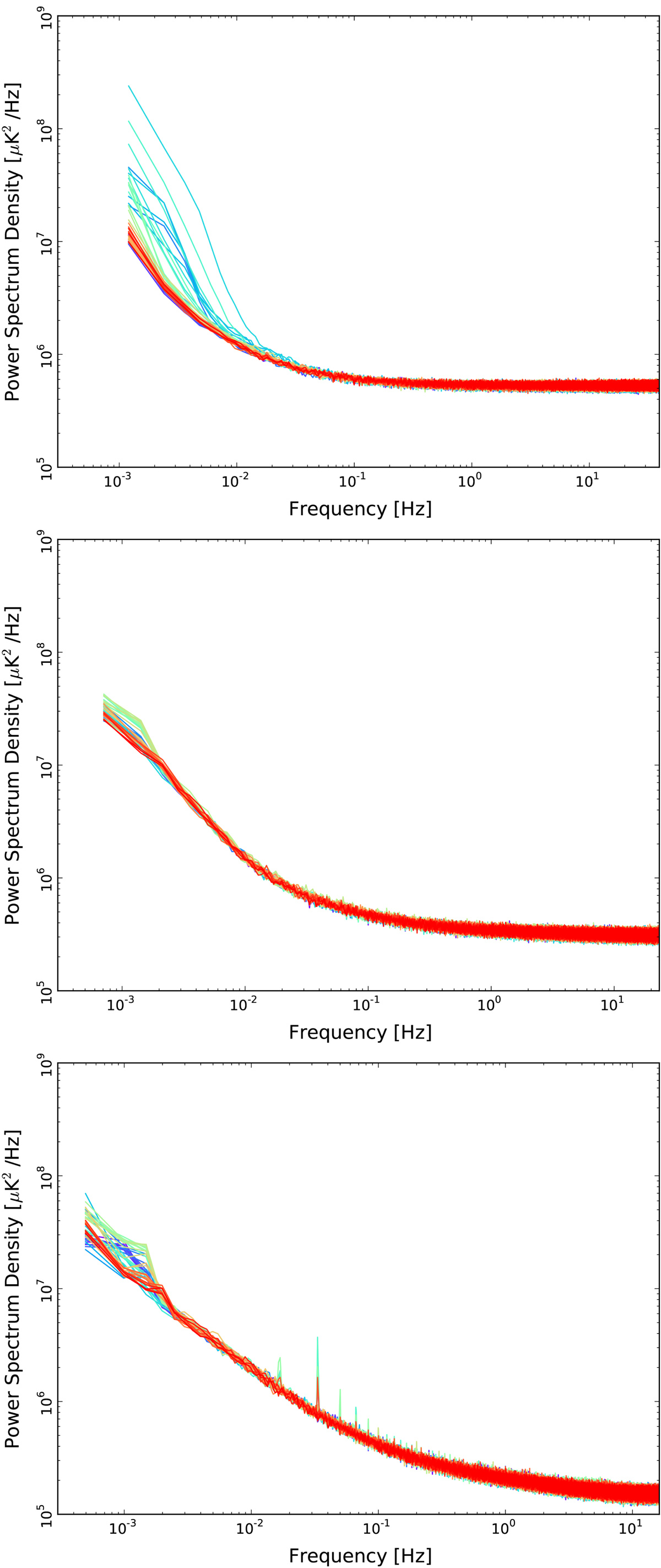
Fig. 9.

image

Evolution of noise spectra over the mission lifetime for radiometer 18M (70 GHz, top), 25S (44 GHz, middle), and 27M (30 GHz, bottom). Spectra are colour-coded, ranging from OD 100 (blue) to OD 1526 (red), with intervals of about 20 ODs. White-noise levels and slope stability are considerably better than in the 2015 release, being at the 0.1% level for noise, while knee-frequencies show variations at the 1.5% level.

Current usage metrics show cumulative count of Article Views (full-text article views including HTML views, PDF and ePub downloads, according to the available data) and Abstracts Views on Vision4Press platform.

Data correspond to usage on the plateform after 2015. The current usage metrics is available 48-96 hours after online publication and is updated daily on week days.

Initial download of the metrics may take a while.