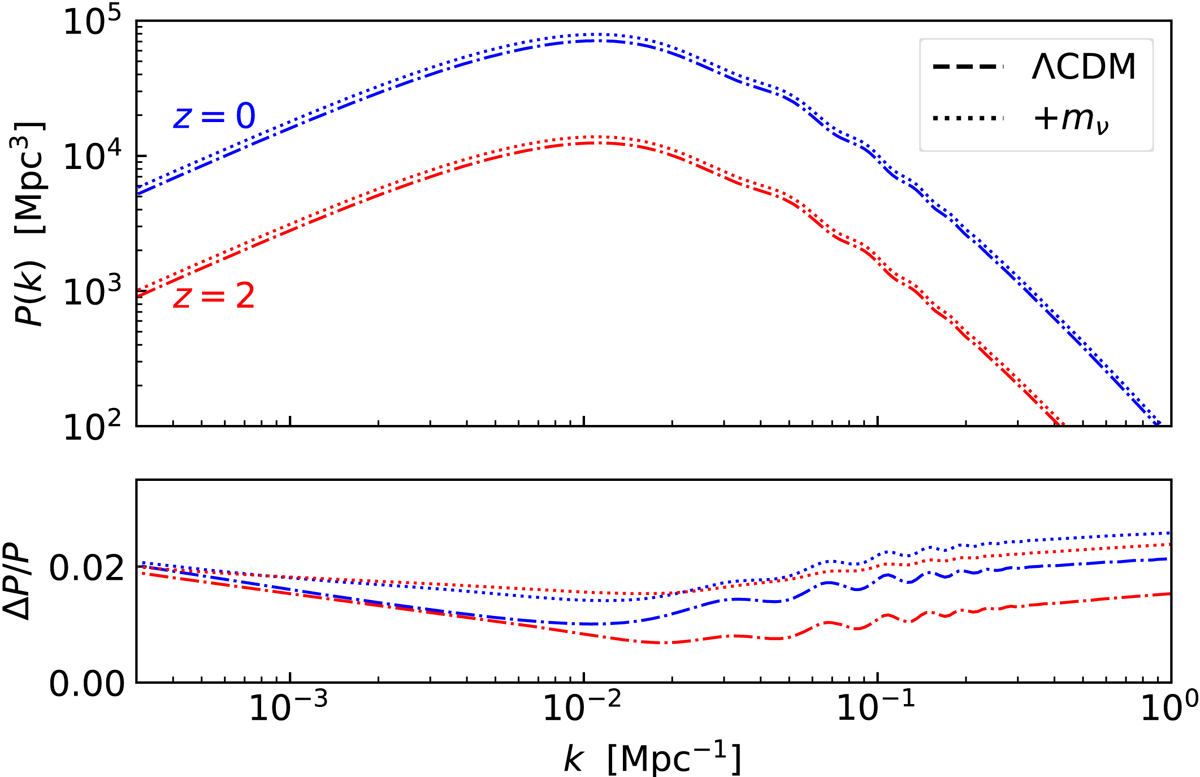
Fig. 26.

Top: matter power spectrum (including non-linear corrections using the fitting form of Takahashi et al. 2012) at redshifts 0 and 2, predicted by the ΛCDM model with a single massive neutrino of 0.06 eV (dashed curve) or allowing the neutrino mass to float (dotted curve). Bottom: fractional error in each power spectrum, compared to the average plotted above, due to the remaining uncertainties in the cosmological parameters. Uncertainty in the evolution of the scale factor at late times (due to dark energy) leads to an additional uncertainty in the overall amplitude, coherent across scales, which is not shown here. With current BAO and SNe data the uncertainty in the growth from z = 2 to z = 0 is 8% (or 16% in power).
Current usage metrics show cumulative count of Article Views (full-text article views including HTML views, PDF and ePub downloads, according to the available data) and Abstracts Views on Vision4Press platform.
Data correspond to usage on the plateform after 2015. The current usage metrics is available 48-96 hours after online publication and is updated daily on week days.
Initial download of the metrics may take a while.