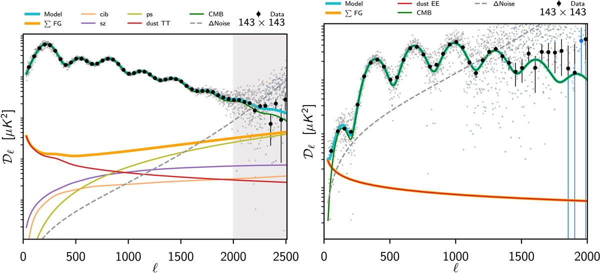
Fig. 5.

Angular scale dependence of the main components of the submillimetre sky at 143 GHz in temperature (left) and E-type polarization (right). These power spectra, 𝒟ℓ = ℓ(ℓ+1) Cℓ/(2π), give approximately the contribution per logarithmic interval to the variance of the sky fluctuations. They are computed within the sky regions retained for the cosmological analysis (57% of the 143 GHz sky for the temperature and 50% for polarization, in order to mask the resolved point sources and decrease the Galactic contributions). The grey dots are the values at individual multipoles, and the large black circles with error bars give their averages and dispersions in bands. The data (corrected for systematic effects) are very well fit by a model (cyan curves) that is largely dominated by the CMB fluctuation spectra (light blue curves, mostly inside the model), with a superposition of foreground emission (orange curves) dominated by dust at large scales (red curve), together with a noise contribution (dotted line). We note, however, that foreground emission actually dominates the “reionization bump” at the lowest polarization multipoles. The grey shaded area shows the area in temperature which is not used for cosmology.
Current usage metrics show cumulative count of Article Views (full-text article views including HTML views, PDF and ePub downloads, according to the available data) and Abstracts Views on Vision4Press platform.
Data correspond to usage on the plateform after 2015. The current usage metrics is available 48-96 hours after online publication and is updated daily on week days.
Initial download of the metrics may take a while.