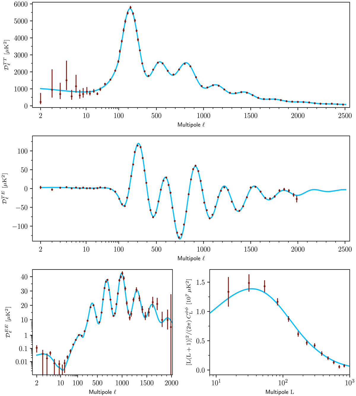
Fig. 9.

Planck CMB power spectra. These are foreground-subtracted, frequency-averaged, cross-half-mission angular power spectra for temperature (top), the temperature-polarization cross-spectrum (middle), the E mode of polarization (bottom left), and the lensing potential (bottom right). Within ΛCDM these spectra contain the majority of the cosmological information available from Planck, and the blue lines show the best-fitting model. The uncertainties of the TT spectrum are dominated by sampling variance, rather than by noise or foreground residuals, at all scales below about ℓ = 1800 – a scale at which the CMB information is essentially exhausted within the framework of the ΛCDM model. The TE spectrum is about as constraining as the TT one, while the EE spectrum still has a sizeable contribution from noise. The lensing spectrum represents the highest signal-to-noise ratio detection of CMB lensing to date, exceeding 40σ. The anisotropy power spectra use a standard binning scheme (which changes abruptly at ℓ = 30), but are plotted here with a multipole axis that goes smoothly from logarithmic at low ℓ to linear at high ℓ. In all panels, the blue line is the best-fit Planck 2018 model, based on the combination of TT, TE, and EE.
Current usage metrics show cumulative count of Article Views (full-text article views including HTML views, PDF and ePub downloads, according to the available data) and Abstracts Views on Vision4Press platform.
Data correspond to usage on the plateform after 2015. The current usage metrics is available 48-96 hours after online publication and is updated daily on week days.
Initial download of the metrics may take a while.