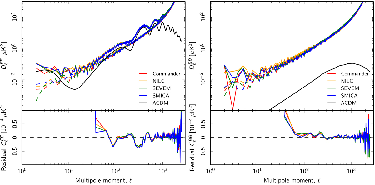
Fig. 17.

Comparison of half-mission polarization power spectra. The top panel shows the half-sum (solid lines) and half-difference (dashed lines) power spectra, while the bottom panel shows the difference between the half-sum and the best-fit Planck 2018 ΛCDM and half-difference spectra. The latter residual spectrum is binned with Δℓ = 25.
Current usage metrics show cumulative count of Article Views (full-text article views including HTML views, PDF and ePub downloads, according to the available data) and Abstracts Views on Vision4Press platform.
Data correspond to usage on the plateform after 2015. The current usage metrics is available 48-96 hours after online publication and is updated daily on week days.
Initial download of the metrics may take a while.