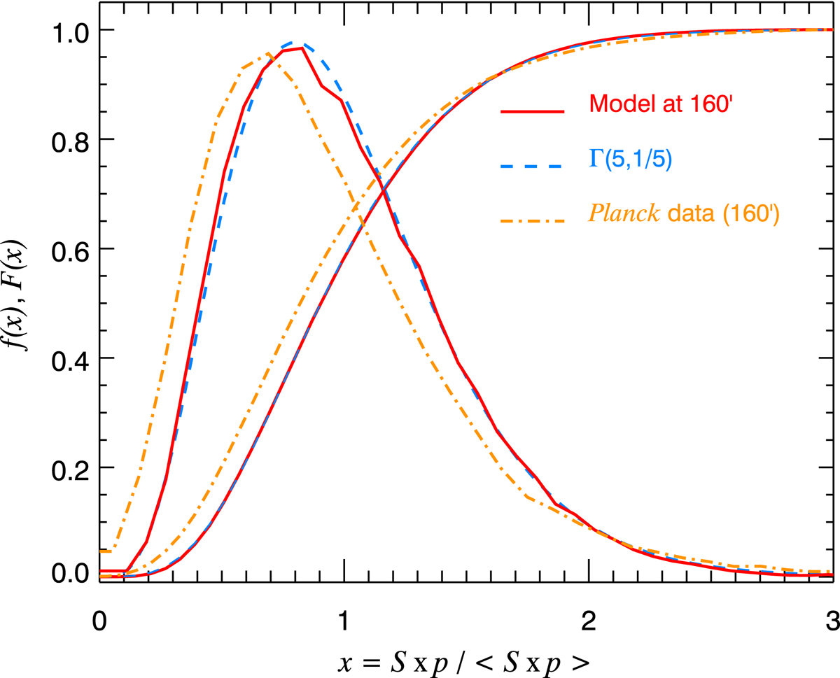
Fig. F.3.

Probability density function (PDF) and cumulative density function (CDF) of various distribution functions. Shown are the mean-normalized product 𝒮 × p/⟨𝒮×p⟩ for our model taken at a resolution of 160′ (solid red curves), the same for Planck data at 160′ resolution (dot dashed orange curves), and a Gamma distribution with shape parameter k = 5 and scale parameter θ = 1/5 (dashed blue curves).
Current usage metrics show cumulative count of Article Views (full-text article views including HTML views, PDF and ePub downloads, according to the available data) and Abstracts Views on Vision4Press platform.
Data correspond to usage on the plateform after 2015. The current usage metrics is available 48-96 hours after online publication and is updated daily on week days.
Initial download of the metrics may take a while.