Planck 2018 results
Free Access

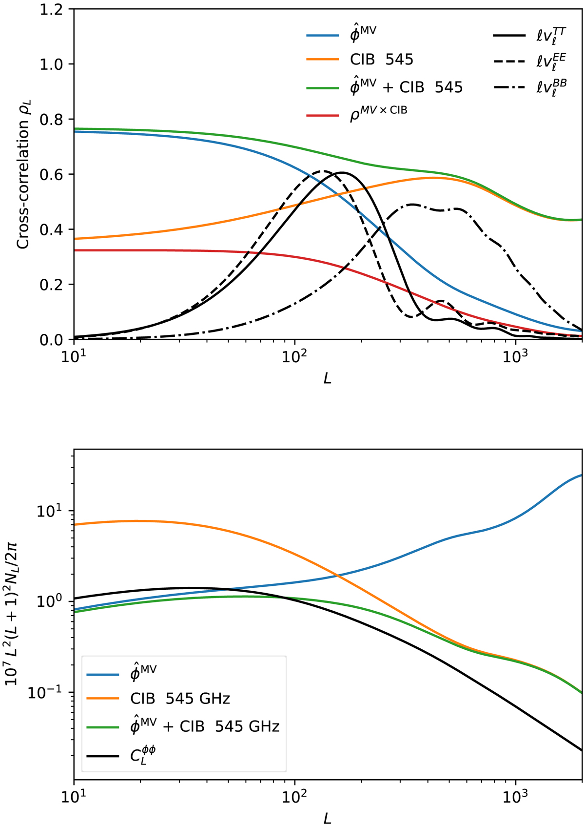
Fig. 11.

image

Top: expected cross-correlation coefficient of the true lensing potential to the minimum-variance (MV) estimator, the 545-GHz GNILC CIB map (orange), and their combination (green). To build these curves, the cross-spectrum of the CIB map to the true lensing potential is approximated by its cross-spectrum to the MV (quadratic-estimator) lensing reconstruction, displayed in Fig. 10, and GNILC CIB curves are smooth spline fits. The red curve shows for comparison the cross-correlation coefficient of the CIB to the MV quadratic estimator. This cross-correlation is suppressed by instrument noise, foreground residuals, and shot noise in the CIB map and reconstruction noise in the lensing quadratic estimator. The black curves show the lensing kernels that contribute to the lensing of the temperature (solid), E-mode polarization (dashed), and B-mode polarization (dash-dotted) power spectra, as described in the text. Bottom: effective reconstruction noise levels NL for each of these tracers, as defined by Eq. (48), and, for comparison, the theoretical lensing spectrum . The quadratic estimator reconstruction noise is slightly underestimated at low L in this figure, since we have neglected Monte Carlo corrections when combining the tracers.

Current usage metrics show cumulative count of Article Views (full-text article views including HTML views, PDF and ePub downloads, according to the available data) and Abstracts Views on Vision4Press platform.

Data correspond to usage on the plateform after 2015. The current usage metrics is available 48-96 hours after online publication and is updated daily on week days.

Initial download of the metrics may take a while.