Planck 2018 results
Free Access

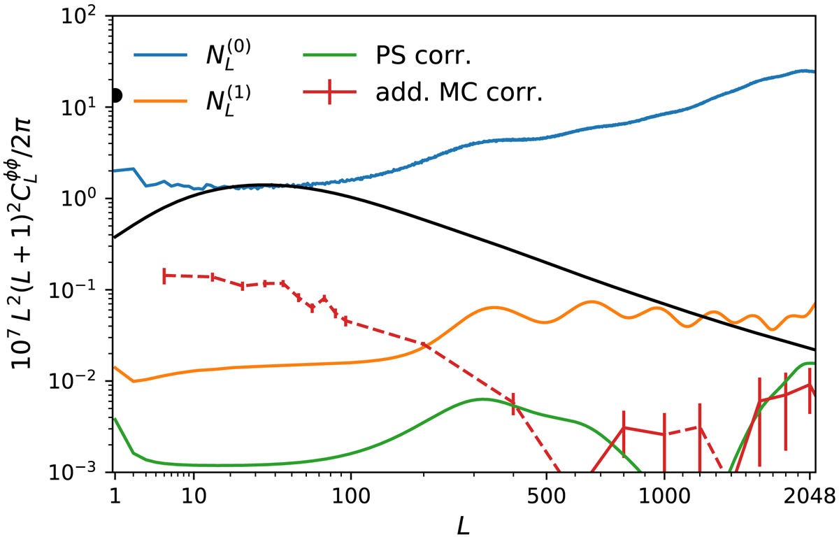
Fig. A.1.

image

Compilation of the power spectrum reconstruction biases for our baseline MV analysis. The blue and orange lines show RD-N(0) and the analytic N(1) estimate. The green curve shows the point-source correction, and the red points the additive Monte Carlo correction (shown here after a coarse binning was applied) defined by the difference of Eq. (A.2) to the simulation input fiducial lensing spectrum. This correction is most prominent at low lensing multipoles, where it is negative (dashed) and due to masking. The error bars are obtained from the 240 simulations used to calculate the correction. The black line shows the fiducial lensing power spectrum. The black dot at L = 1 shows the almost pure dipole effective deflection caused by our motion with respect to the CMB frame (aberration). This dipole is included in our simulations, hence subtracted from our lensing reconstructions together with other sources of anisotropy through the mean field.

Current usage metrics show cumulative count of Article Views (full-text article views including HTML views, PDF and ePub downloads, according to the available data) and Abstracts Views on Vision4Press platform.

Data correspond to usage on the plateform after 2015. The current usage metrics is available 48-96 hours after online publication and is updated daily on week days.

Initial download of the metrics may take a while.