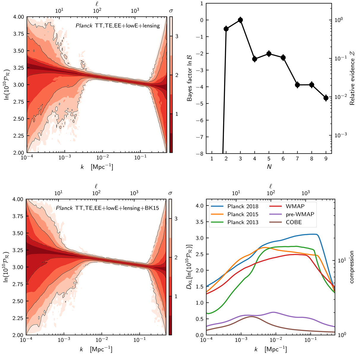
Fig. 20.

Free-form Bayesian reconstruction of the primordial power spectrum (Sect. 6.2.1) using Planck TT,TE,EE+lowE+lensing. Top-right: evidence values for each N-knot reconstruction. The evidence is maximal for the N = 2 and N = 3 knot cases, and semi-competitive for the remaining higher knots. Marginalizing over the number of knots produces a predictive posterior plot, shown in the top-left panel. Here we see generic features, with the limit of resolution of Planck at ℓ ≃ 2400 and cosmic variance at low ℓ. Bottom-left: same as top-left, but using the additional BK15 data and allowing r to vary. Bottom-right: Kullback–Leibler divergence conditional on k, marginalized over the number of knots, showing the increase in compression of the primordial power spectrum over several past CMB missions. The difference in constraining power between Planck 2013 and 2015 is driven entirely by the shift in the τ constraint.
Current usage metrics show cumulative count of Article Views (full-text article views including HTML views, PDF and ePub downloads, according to the available data) and Abstracts Views on Vision4Press platform.
Data correspond to usage on the plateform after 2015. The current usage metrics is available 48-96 hours after online publication and is updated daily on week days.
Initial download of the metrics may take a while.