Planck 2018 results
Free Access

This article has an erratum: [https://doi.org/10.1051/0004-6361/201833910e]


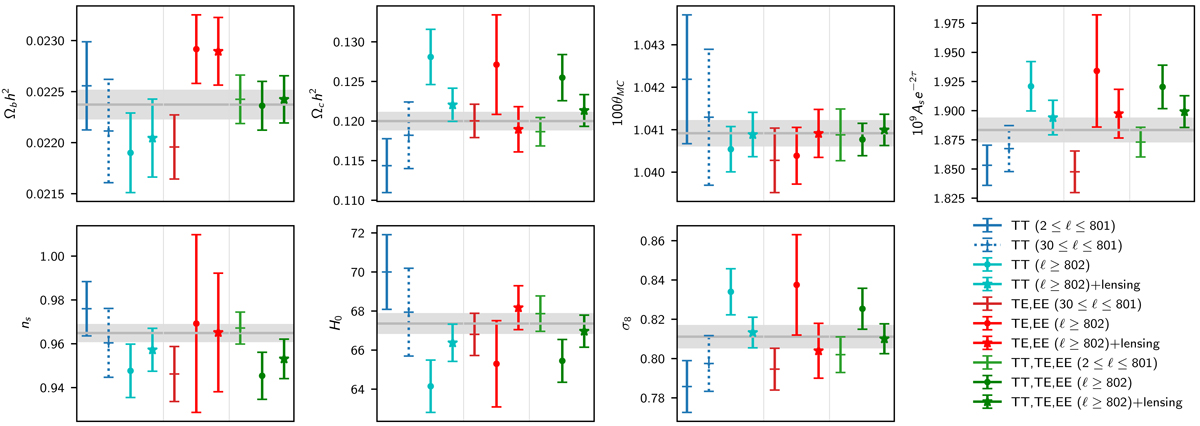
Fig. 22.

image

Base-ΛCDM 68% marginalized parameter constraints for various combinations of power spectrum ranges (all using plik_lite and also including low- polarization “lowE”). Points marked with a cross are from 2 ≤  ≤ 801, while points marked with a circle are from  ≥ 802. Dotted errors are the result from 30 ≤  ≤ 801, without the Commander large-scale temperature likelihood, showing that  <  30 pulls the low-multipole parameters further from the joint result. Points marked with a star are from  ≥ 802 combined with the lensing likelihood, showing that constraining the lensing amplitude pulls all the results from high multipoles towards better consistency with the results from lower multipoles. The grey horizontal band shows the combined 68% constraint from Planck TT,TE,EE+lowE+lensing.

Current usage metrics show cumulative count of Article Views (full-text article views including HTML views, PDF and ePub downloads, according to the available data) and Abstracts Views on Vision4Press platform.

Data correspond to usage on the plateform after 2015. The current usage metrics is available 48-96 hours after online publication and is updated daily on week days.

Initial download of the metrics may take a while.