Free Access
Fig. 2.

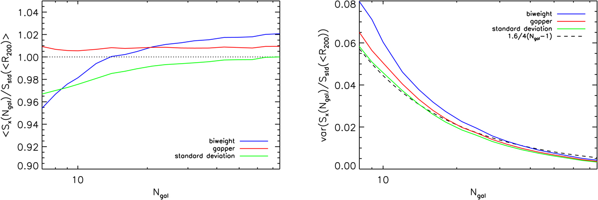
Mean velocity dispersion SX/Sstd(< R200) as a function of the number of galaxies Ngal (left panel) and its variance (right panel) for our sample of 73 simulated galaxy clusters. The dispersion SX(Ngal) is calculated for the standard deviation (green line), biweight (blue line), and gapper (red line) estimators.
Current usage metrics show cumulative count of Article Views (full-text article views including HTML views, PDF and ePub downloads, according to the available data) and Abstracts Views on Vision4Press platform.
Data correspond to usage on the plateform after 2015. The current usage metrics is available 48-96 hours after online publication and is updated daily on week days.
Initial download of the metrics may take a while.