Free Access
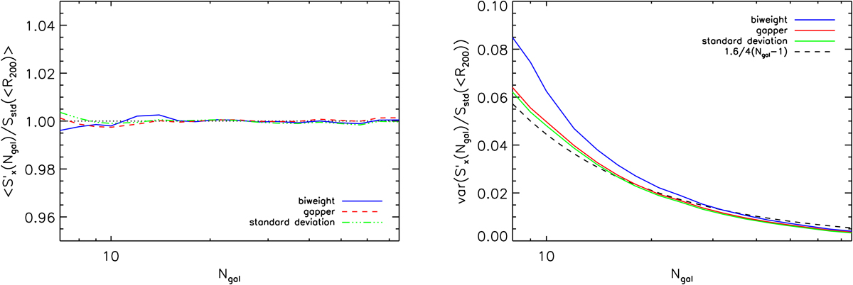
Fig. 3.

Mean (left panel) and variance (right panel) of the corrected estimators S′X(Ngal)/S′std(< R200) as a function of the number of galaxies Ngal in our sample of 73 simulated galaxy clusters for the standard deviation (green line), biweight (blue line), and gapper (red line).
Current usage metrics show cumulative count of Article Views (full-text article views including HTML views, PDF and ePub downloads, according to the available data) and Abstracts Views on Vision4Press platform.
Data correspond to usage on the plateform after 2015. The current usage metrics is available 48-96 hours after online publication and is updated daily on week days.
Initial download of the metrics may take a while.