Free Access
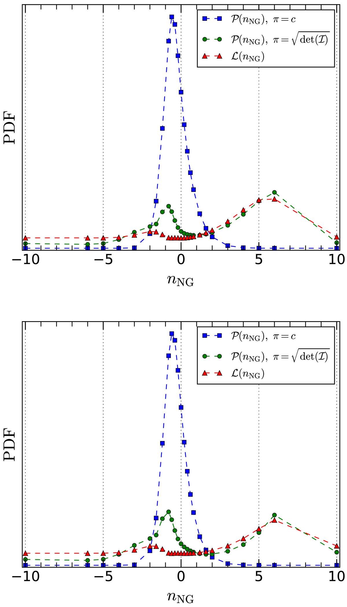
Fig. 5.

PDF of the running parameter nNG for the geometric mean equilateral parametrization. Top: SMICA map. Bottom: Commander map. Blue squares give the marginalized posterior assuming a constant prior, green circles are the posterior assuming a Jeffreys prior, and red triangles are the profiled Likelihood.
Current usage metrics show cumulative count of Article Views (full-text article views including HTML views, PDF and ePub downloads, according to the available data) and Abstracts Views on Vision4Press platform.
Data correspond to usage on the plateform after 2015. The current usage metrics is available 48-96 hours after online publication and is updated daily on week days.
Initial download of the metrics may take a while.