Press Release
Free Access

Fig. 4.

image

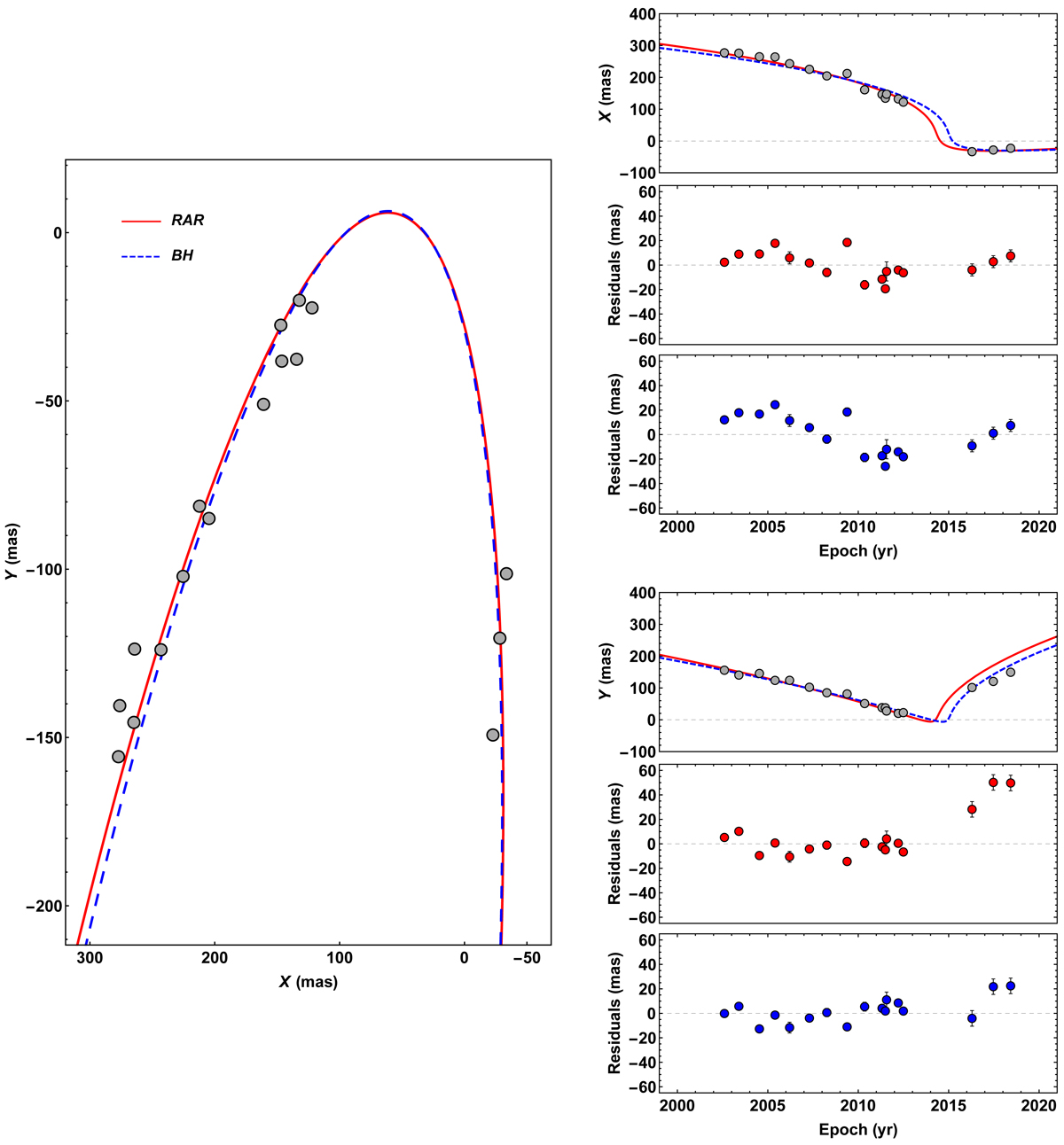
Theoretical and observed orbit of G2 around Sgr A*. Left panel: orbit (X vs. Y), right panel: X and Y position as a function of time and the respective residuals of the best-fit for each model. The theoretical models are calculated by solving the equations of motion of a test particle in the gravitational field of (1) a Schwarzschild BH of 4.075 × 106 M (dashed blue curves), and (2) the DM distribution obtained from the extended RAR model for 56 keV fermions (red curves). The mass of the quantum core in the RAR model is 3.5 × 106 M. Table 1 shows the parameters of each model. The observational data are taken from Phifer et al. (2013), Plewa et al. (2017), and Gillessen et al. (2019).

Current usage metrics show cumulative count of Article Views (full-text article views including HTML views, PDF and ePub downloads, according to the available data) and Abstracts Views on Vision4Press platform.

Data correspond to usage on the plateform after 2015. The current usage metrics is available 48-96 hours after online publication and is updated daily on week days.

Initial download of the metrics may take a while.