Open Access
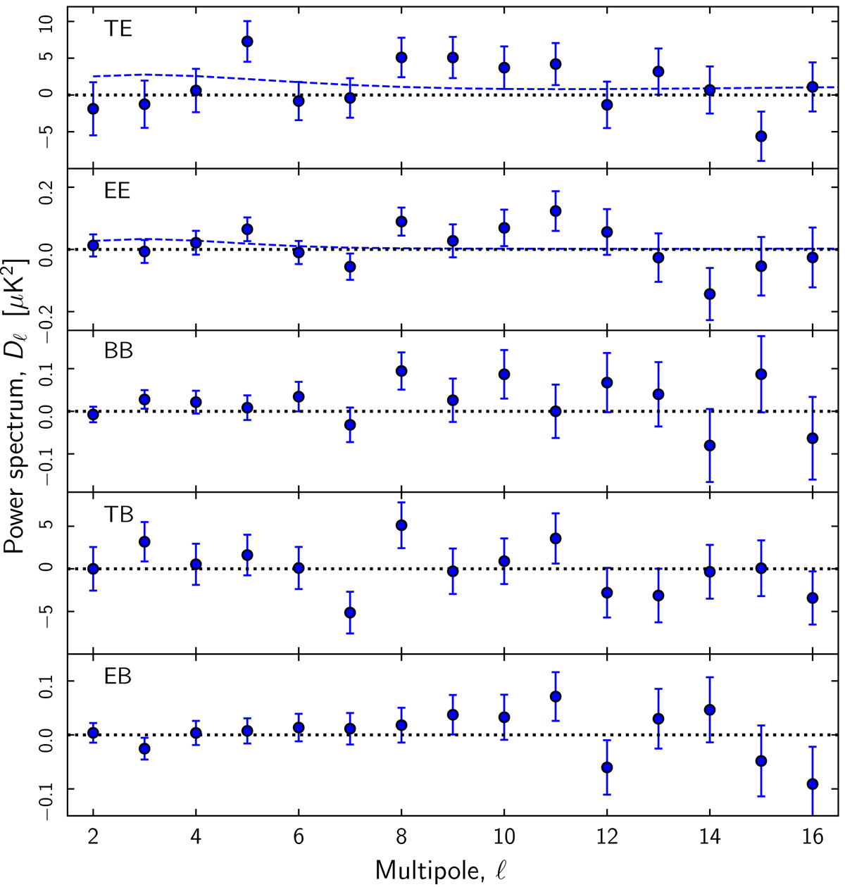
Fig. 24.

Polarization power spectra of the cleaned LFI 70 GHz maps, estimated on the Commander mask in temperature and the cosmological analysis mask R1.8x (fsky = 62.4%) in polarization. Blue dashed lines represent the model with τ = 0.05.
Current usage metrics show cumulative count of Article Views (full-text article views including HTML views, PDF and ePub downloads, according to the available data) and Abstracts Views on Vision4Press platform.
Data correspond to usage on the plateform after 2015. The current usage metrics is available 48-96 hours after online publication and is updated daily on week days.
Initial download of the metrics may take a while.