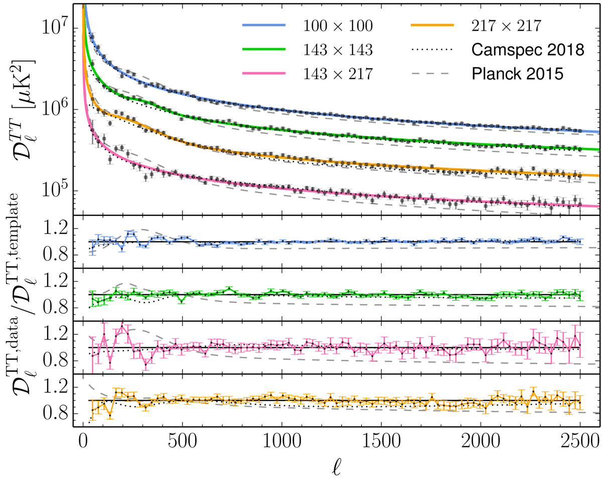
Fig. 38.

Dust TT templates. Top panel: the black data points are the 545 GHz, mask-differenced, half-mission spectra, calculated using the same masks as the ones used for the 100 × 100, 143 × 143, 217 × 217, and 143 × 217 power spectra (from top to bottom, respectively) in the likelihood. The solid lines show the dust templates estimated by fitting the data to the model of Eq. (25). The grey dashed line shows the dust template used in 2015, while the black dotted line shows the templates used in the 2018 CamSpec likelihood, both normalized at ℓ = 500 to the same amplitude as the baseline template. The other (smaller) panels show the ratio between the data and the baseline dust templates (the solid lines of the first panel). Features that are not well modelled by our smooth template are at the level of 15%. We also show that the baseline templates differ from the CamSpec ones at the level of approximately 10%. Finally, the 2015 template (which was the same at all frequencies) differs from the ones used in 2018 by up to 25%, due to a different fit of the bump at ℓ ≈ 300, the high-ℓ slope remaining essentially the same. This difference is compensated by a change in extragalactic foregrounds such as point sources and the CIB amplitude, as shown in Fig. 39.
Current usage metrics show cumulative count of Article Views (full-text article views including HTML views, PDF and ePub downloads, according to the available data) and Abstracts Views on Vision4Press platform.
Data correspond to usage on the plateform after 2015. The current usage metrics is available 48-96 hours after online publication and is updated daily on week days.
Initial download of the metrics may take a while.