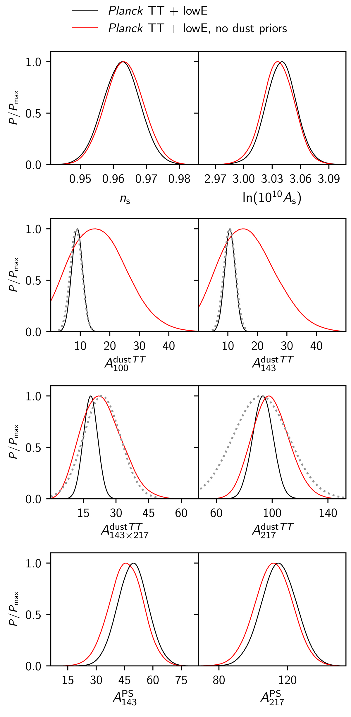
Fig. 40.

One-dimensional posterior distributions for cosmological and nuisance parameters using TT+SimAll. The black line shows the baseline set of results, which adopts priors on the dust amplitudes. The red lines show the case when we leave the amplitudes free to vary; these are in good agreement with the priors set in the baseline, which are indicated with grey dotted lines. As a consequence, leaving the dust amplitudes free to vary without priors has small to negligible impact on other parameters.
Current usage metrics show cumulative count of Article Views (full-text article views including HTML views, PDF and ePub downloads, according to the available data) and Abstracts Views on Vision4Press platform.
Data correspond to usage on the plateform after 2015. The current usage metrics is available 48-96 hours after online publication and is updated daily on week days.
Initial download of the metrics may take a while.