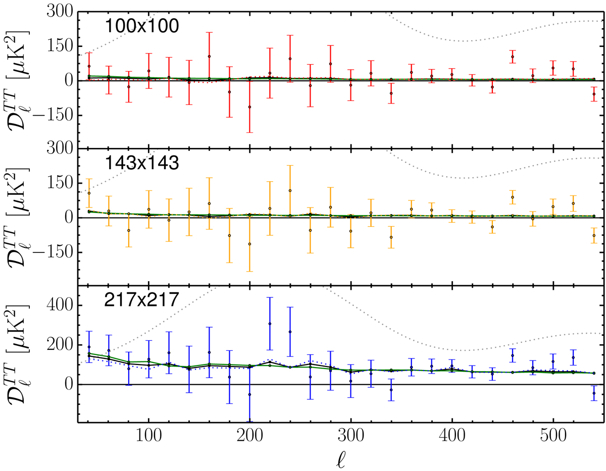
Fig. 41.

Dust-plus-CIB contamination estimates in temperature. The 100 × 100, 143 × 143, and 217 × 217 half-mission cross-spectra with the 2018 Planck CMB best-fit subtracted are shown from top to bottom. The green line shows , with the aν rescaling factor estimated from Eq. (29), the black line shows
, while the dotted coloured line shows the dust contribution as estimated from the cleaning procedure in Eq. (32). The grey dotted line shows the TT CMB best-fit.
Current usage metrics show cumulative count of Article Views (full-text article views including HTML views, PDF and ePub downloads, according to the available data) and Abstracts Views on Vision4Press platform.
Data correspond to usage on the plateform after 2015. The current usage metrics is available 48-96 hours after online publication and is updated daily on week days.
Initial download of the metrics may take a while.