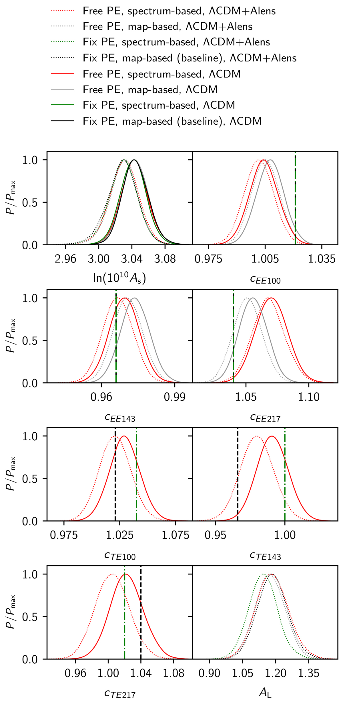
Fig. 74.

Impact of different choices for the PE corrections on 1-dimensional posterior distributions of cosmological parameters and PE amplitudes from Planck TT,TE,EE+lowE. The red lines show results when leaving the PE parameters free to vary independently for EE and TE, while the grey lines assume coupled parameters for the EE and TE spectra. The green lines show results obtained when fixing the polarization efficiencies in the spectrum-based approach to the values indicated by the vertical green dotted-dashed lines. Finally the black lines show results obtained when fixing the polar efficiencies in the map-based, baseline case, to the values indicated by the vertical black dashed lines. The solid lines show results for the ΛCDM case, while the dotted ones show results for the ΛCDM+AL model. This plot shows that the recovered values for PE change according to the cosmological model.
Current usage metrics show cumulative count of Article Views (full-text article views including HTML views, PDF and ePub downloads, according to the available data) and Abstracts Views on Vision4Press platform.
Data correspond to usage on the plateform after 2015. The current usage metrics is available 48-96 hours after online publication and is updated daily on week days.
Initial download of the metrics may take a while.