Planck 2018 results
Open Access

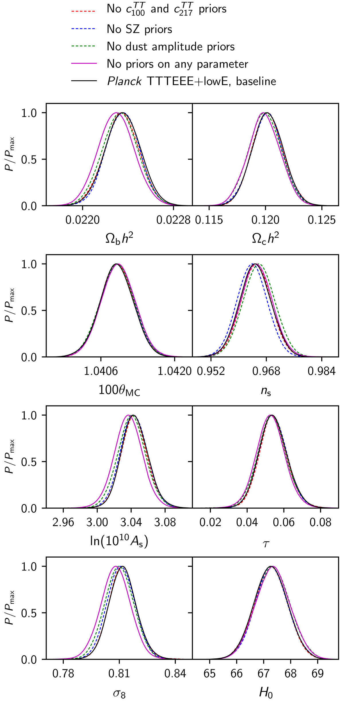
Fig. 76.

image

Impact of lifting priors on ΛCDM cosmological parameters. We show results obtained when lifting the TT inter-frequency parameters and described in Sect. 3.3.4 (dashed red), when lifting the SZ amplitude priors described in Sect. 3.3.1 (dashed blue), and when lifting the dust amplitude priors in TT and TE, while allowing the dust-amplitude values in EE to vary freely (dashed green). We also show the impact of letting all of the nuisance parameters vary freely (keeping only a prior on the overall calibration yP, as given in Eq. (39), solid magenta). The baseline TTTEEE+SimAll case is in solid black. In all these cases, shifts with respect to the baseline are smaller than 0.5 σ.

Current usage metrics show cumulative count of Article Views (full-text article views including HTML views, PDF and ePub downloads, according to the available data) and Abstracts Views on Vision4Press platform.

Data correspond to usage on the plateform after 2015. The current usage metrics is available 48-96 hours after online publication and is updated daily on week days.

Initial download of the metrics may take a while.