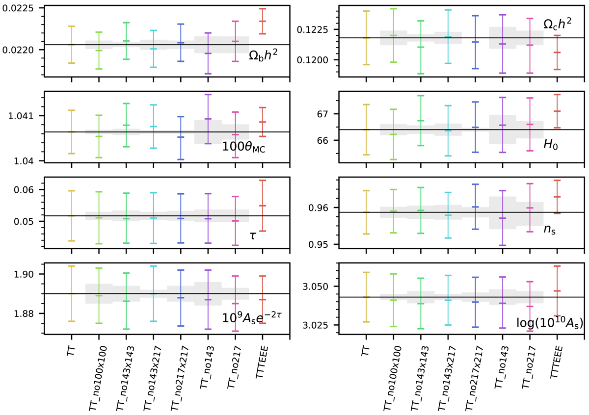
Fig. 78.

Marginal means and 68% error bars on the cosmological parameters for PlikTT combined with SimAll, when removing either a single cross-spectrum, or all cross-spectra that include a given frequency channel. Shifts in cosmological parameters are in agreement with expectations. Grey bands represent the expected deviation with respect to the full-frequency case, computed from Eq. (61). For comparison, we also show the case PlikTT,EE,TE+SimAll.
Current usage metrics show cumulative count of Article Views (full-text article views including HTML views, PDF and ePub downloads, according to the available data) and Abstracts Views on Vision4Press platform.
Data correspond to usage on the plateform after 2015. The current usage metrics is available 48-96 hours after online publication and is updated daily on week days.
Initial download of the metrics may take a while.