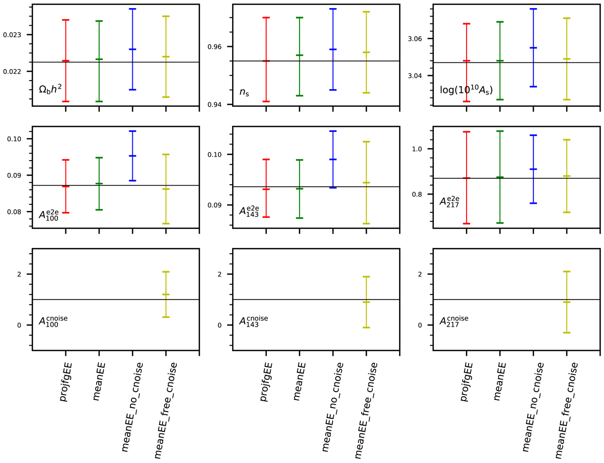
Fig. 86.

Marginal means and 68% error bars on the cosmological parameters for PlikEE for the end-to-end simulations. We compare here the noise-free case (projfgEE) with the mean of the 300 end-to-end simulations (to reduce the effect of the noise scatter), including the empirical correction (meanEE), ignoring it (meanEE_no_cnoise), or fitting for its amplitude but leaving the template constant (meanEE_free_cnoise). We only show here the parameters affected by template. Ignoring the effect results in a 1 σ bias on the recovery of the dust contamination level at 100 and 143 GHz, and smaller shift in ωb and ns. When fitting for the amplitude of the effect, we obtain a marginal detection of the correlated noise.
Current usage metrics show cumulative count of Article Views (full-text article views including HTML views, PDF and ePub downloads, according to the available data) and Abstracts Views on Vision4Press platform.
Data correspond to usage on the plateform after 2015. The current usage metrics is available 48-96 hours after online publication and is updated daily on week days.
Initial download of the metrics may take a while.