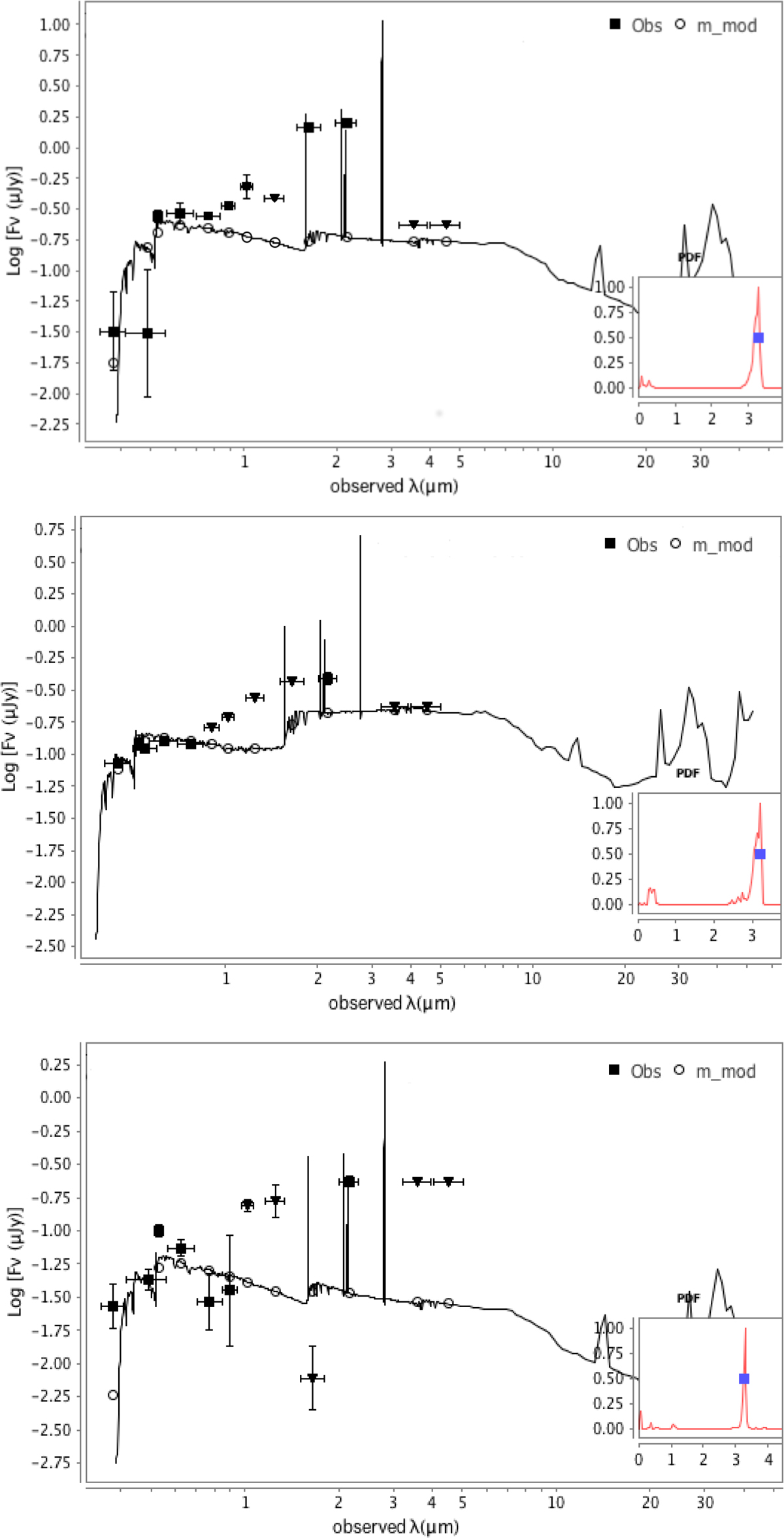
Fig. 3.

Best-fit galaxy template in observed wavelengths from LePhare including the emission line contribution. Twelve filters were used to estimate these photometric redshift. The filled squares represent the ISOCOR magnitudes of our object, and the empty circles show the magnitudes from the best model. The downward facing triangles represent the detection limit used for the photometric redshift estimation. Top: for the complete nebula, magnitude of aperture 35 pixels. Centre: for the bright core, with 3 arcsec aperture, 3sigma detection. Bottom: for the faint halo with 15 pixels aperture. The three fits give a redshift of around 3.3 ± 0.05.
Current usage metrics show cumulative count of Article Views (full-text article views including HTML views, PDF and ePub downloads, according to the available data) and Abstracts Views on Vision4Press platform.
Data correspond to usage on the plateform after 2015. The current usage metrics is available 48-96 hours after online publication and is updated daily on week days.
Initial download of the metrics may take a while.