Free Access
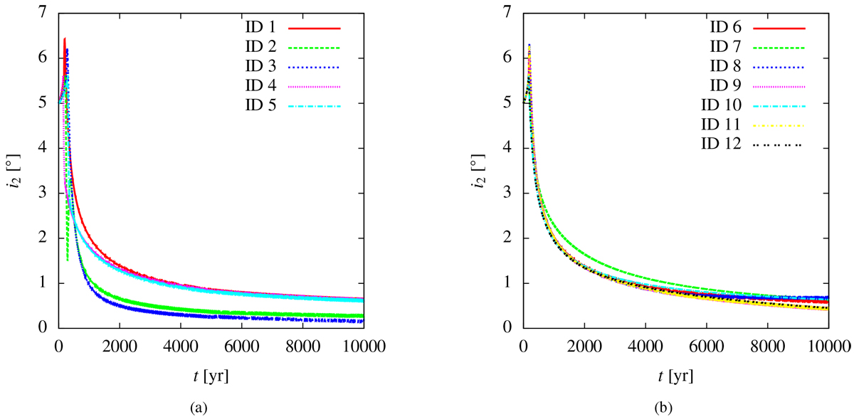
Fig. 10

Timeevolution of the planet’s obliquity (i2) as result from the first (a) – those varying the rheological parameters – and second (b) – i.e. those varying the dynamical parameters – the set of numerical simulations.
Current usage metrics show cumulative count of Article Views (full-text article views including HTML views, PDF and ePub downloads, according to the available data) and Abstracts Views on Vision4Press platform.
Data correspond to usage on the plateform after 2015. The current usage metrics is available 48-96 hours after online publication and is updated daily on week days.
Initial download of the metrics may take a while.