Free Access
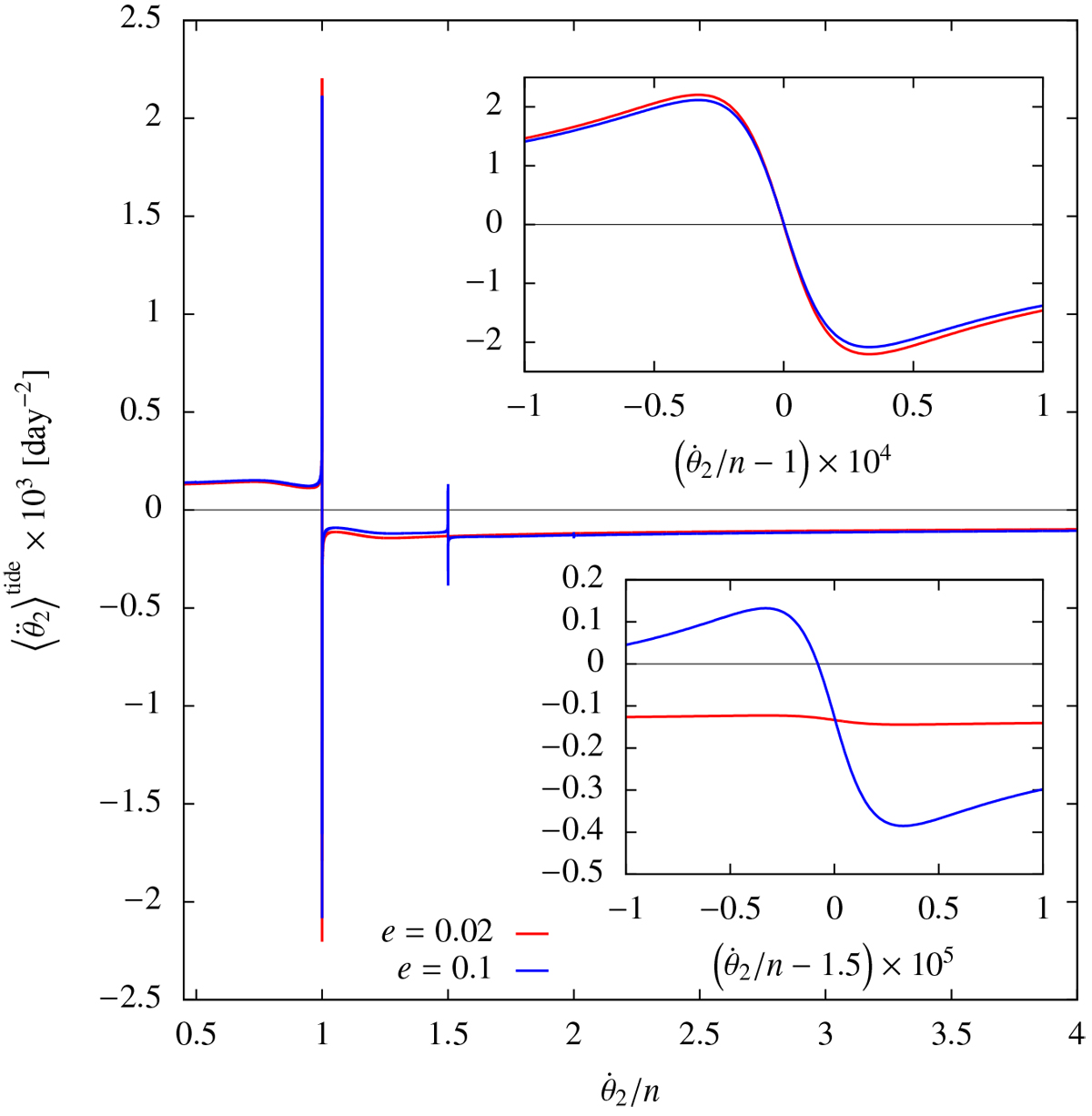
Fig. 4

Angular acceleration of the planet due to the secular terms of the tidal torque vs. its normalized spin rate for two values of the eccentricity, the current e = 0.02 and e = 0.1. We zoomed in on two neighborhoods around the 1:1 and 3:2 spin-orbit resonances for clarity.
Current usage metrics show cumulative count of Article Views (full-text article views including HTML views, PDF and ePub downloads, according to the available data) and Abstracts Views on Vision4Press platform.
Data correspond to usage on the plateform after 2015. The current usage metrics is available 48-96 hours after online publication and is updated daily on week days.
Initial download of the metrics may take a while.