Free Access
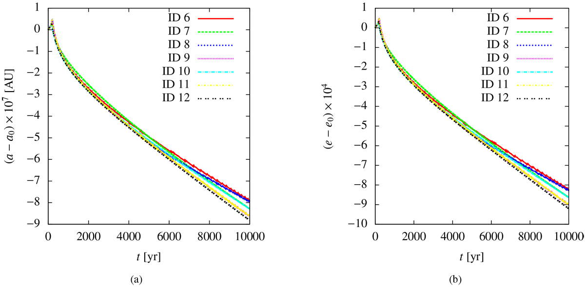
Fig. 6

Time evolution of a − a0, e − e0 (where a0 and e0 are theinitial values of the major semiaxis and the eccentricity, respectively) as result from the second set of numerical simulations, i.e., those varying the dynamical parameters J2 and (B − A)∕C2 of the planet.
Current usage metrics show cumulative count of Article Views (full-text article views including HTML views, PDF and ePub downloads, according to the available data) and Abstracts Views on Vision4Press platform.
Data correspond to usage on the plateform after 2015. The current usage metrics is available 48-96 hours after online publication and is updated daily on week days.
Initial download of the metrics may take a while.