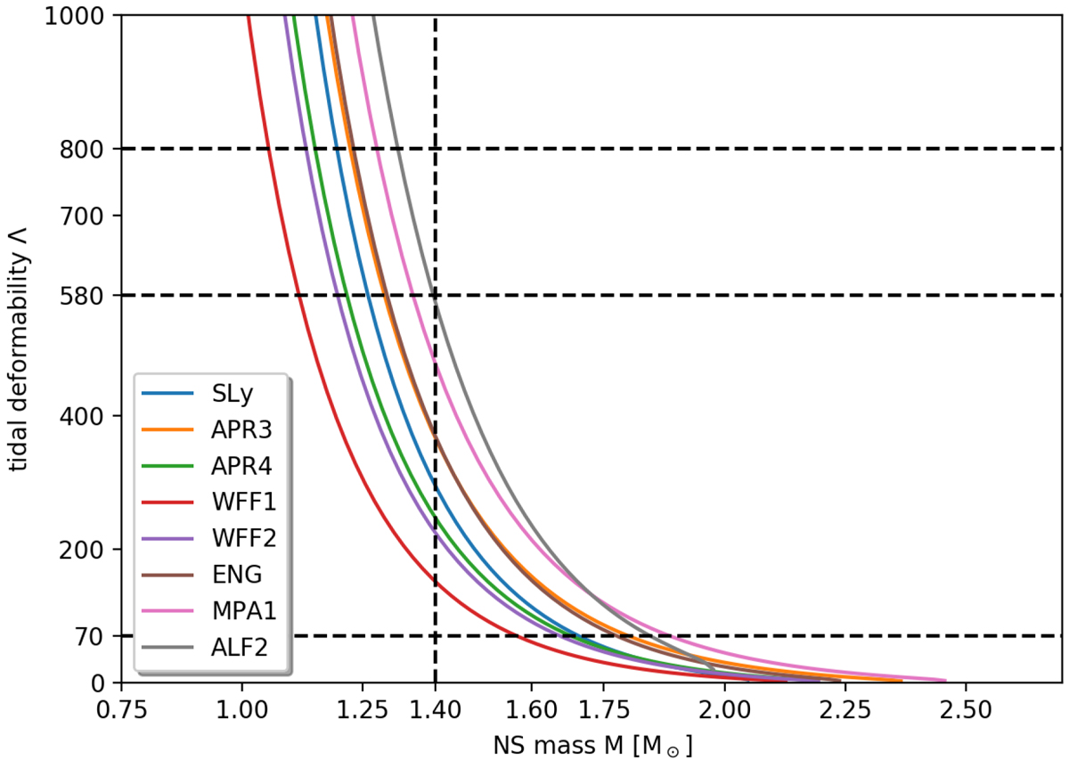
Fig. 1.

Relation between tidal deformability (Λ) and NS mass for different EOSs. The vertical dotted line marks the canonical NS mass of 1.4 M⊙. From top to bottom, the three horizontal dotted lines are for Λ = 800, 580, and 70. Currently, all EOSs satisfy the constraints from GW observations, and are indistinguishable from each other.
Current usage metrics show cumulative count of Article Views (full-text article views including HTML views, PDF and ePub downloads, according to the available data) and Abstracts Views on Vision4Press platform.
Data correspond to usage on the plateform after 2015. The current usage metrics is available 48-96 hours after online publication and is updated daily on week days.
Initial download of the metrics may take a while.