Free Access

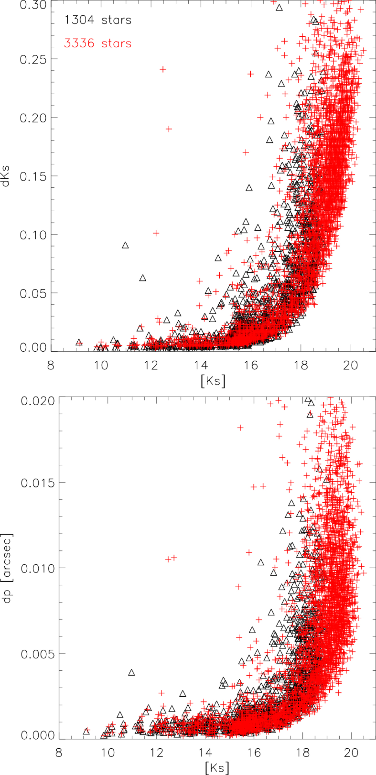
Fig. 2.

image

Photometric and astrometric uncertainties in the central, 9.72″ × 9.72″ field. Upper plot: 1σ uncertainty of the measured Ks magnitude of the detected stars plotted over the corresponding Ks magnitude. Lower plot: 1σ relative astrometric uncertainties. Red crosses refer to stars measured in the holographic image. Black triangles mark stars measured in the SSA image.

Current usage metrics show cumulative count of Article Views (full-text article views including HTML views, PDF and ePub downloads, according to the available data) and Abstracts Views on Vision4Press platform.

Data correspond to usage on the plateform after 2015. The current usage metrics is available 48-96 hours after online publication and is updated daily on week days.

Initial download of the metrics may take a while.