Free Access

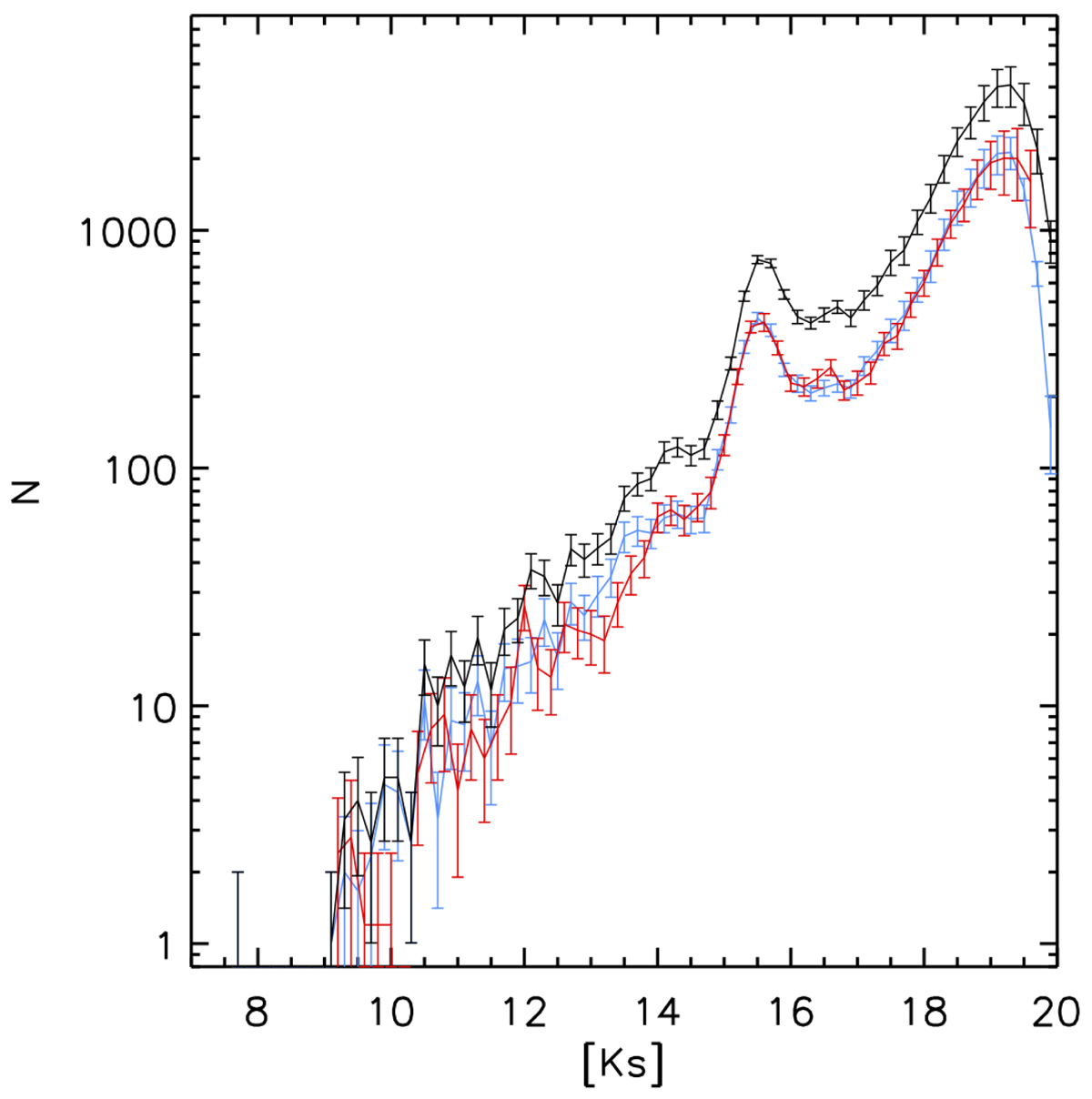
Fig. 6.

image

KLF for the large field (black), after exclusion of foreground sources, correction for completeness due to crowding, and correction for differential extinction, assuming a mean extinction of AKs = 2.62. The blue and red lines are the KLFs of the same data, but for the region inside (blue) and outside (red) of a projected radius of 0.5 pc around Sgr A*. The red and blue lines have been scaled by an arbitrary factor to match at Ks >  14.

Current usage metrics show cumulative count of Article Views (full-text article views including HTML views, PDF and ePub downloads, according to the available data) and Abstracts Views on Vision4Press platform.

Data correspond to usage on the plateform after 2015. The current usage metrics is available 48-96 hours after online publication and is updated daily on week days.

Initial download of the metrics may take a while.