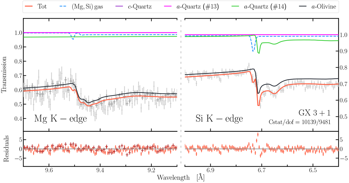
Fig. 3

Zoom-in on the magnesium (in the left column) and silicon K-edge (in the right column) for GX 3+1. The HEG and MEG data are respectively shown in light and dark grey. We show the best fit obtained in the analysis together with contribution of each dust compound listed in the legend. The light-blue dashed line represents the absorption by magnesium and silicon in the gas phase. The dust mixture is dominated by the amorphous olivine (see also Table 3).
Current usage metrics show cumulative count of Article Views (full-text article views including HTML views, PDF and ePub downloads, according to the available data) and Abstracts Views on Vision4Press platform.
Data correspond to usage on the plateform after 2015. The current usage metrics is available 48-96 hours after online publication and is updated daily on week days.
Initial download of the metrics may take a while.