Open Access
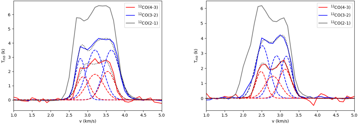
Fig. B.2

Results of a fit of three Gaussian profiles to the 12CO(3–2) and 12CO(4–3) lines towards the crest in the northern map (left) and southern map (right). The solid lines are the observed data, the long-dashed lines the fit with three individual components, and the short-dashed lines the resulting spectrum.
Current usage metrics show cumulative count of Article Views (full-text article views including HTML views, PDF and ePub downloads, according to the available data) and Abstracts Views on Vision4Press platform.
Data correspond to usage on the plateform after 2015. The current usage metrics is available 48-96 hours after online publication and is updated daily on week days.
Initial download of the metrics may take a while.