Free Access
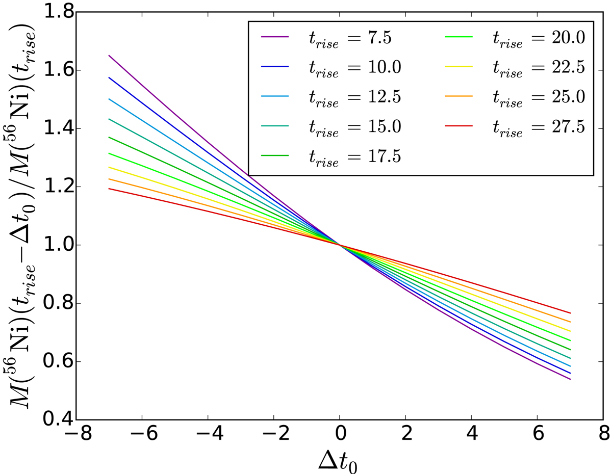
Fig. 6.

Fractional variation of the 56Ni mass using the Arnett rule, as a function of the rise time variation in days. The shorter the real rise time the more the 56Ni mass is affected by the unknown explosion epoch.
Current usage metrics show cumulative count of Article Views (full-text article views including HTML views, PDF and ePub downloads, according to the available data) and Abstracts Views on Vision4Press platform.
Data correspond to usage on the plateform after 2015. The current usage metrics is available 48-96 hours after online publication and is updated daily on week days.
Initial download of the metrics may take a while.