Free Access
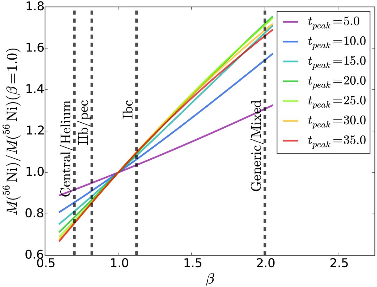
Fig. 7.

Fractional variation of 56Ni masses using Khatami & Kasen, as a function of β. Dashed black lines reference β values from different progenitor structures (where labels show which values are suggested for the different SNe). Curves for different initial rise times are displayed in different colours.
Current usage metrics show cumulative count of Article Views (full-text article views including HTML views, PDF and ePub downloads, according to the available data) and Abstracts Views on Vision4Press platform.
Data correspond to usage on the plateform after 2015. The current usage metrics is available 48-96 hours after online publication and is updated daily on week days.
Initial download of the metrics may take a while.