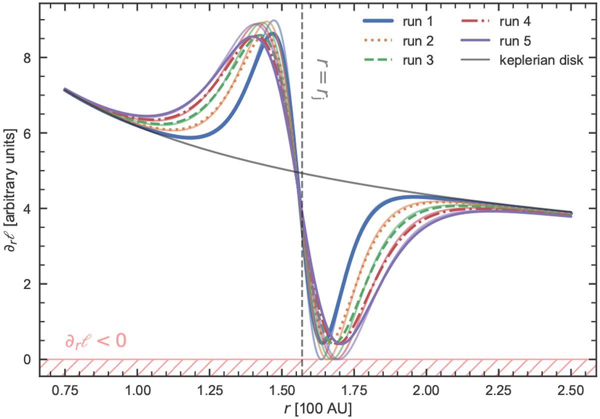
Fig. 1

Initial gradient in specific angular momentum ℓ
for our 5 simulations (thick lines, ranked from coldest to hottest) compared to the Keplerian case. The width of the density “jump” region σj
is adjusted in two steps. First, the critical value
for which the global minimum in ∂rℓ
is exactly 0 (thin solid lines) is derived. Any value
would give rise to a rotationally unstable region, characterized by ∂rℓ < 0. An arbitrary5% margin was applied
in our runs (thick dashed lines).
Current usage metrics show cumulative count of Article Views (full-text article views including HTML views, PDF and ePub downloads, according to the available data) and Abstracts Views on Vision4Press platform.
Data correspond to usage on the plateform after 2015. The current usage metrics is available 48-96 hours after online publication and is updated daily on week days.
Initial download of the metrics may take a while.