Free Access
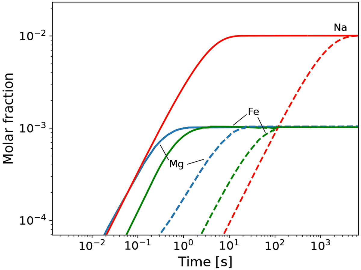
Fig. 7

Influence of the atmospheric pressure in the neutralisation of the trail. Comparison between 80 and 100 km altitude. The effect of the background pressure is particularly evident for Na, whose recombination is fully driven by a three-body process. Dashed lines refer to 80 km and solid lines to 100 km.
Current usage metrics show cumulative count of Article Views (full-text article views including HTML views, PDF and ePub downloads, according to the available data) and Abstracts Views on Vision4Press platform.
Data correspond to usage on the plateform after 2015. The current usage metrics is available 48-96 hours after online publication and is updated daily on week days.
Initial download of the metrics may take a while.